Ответы
Ответ дал:
1
Ответ:
Объяснение:
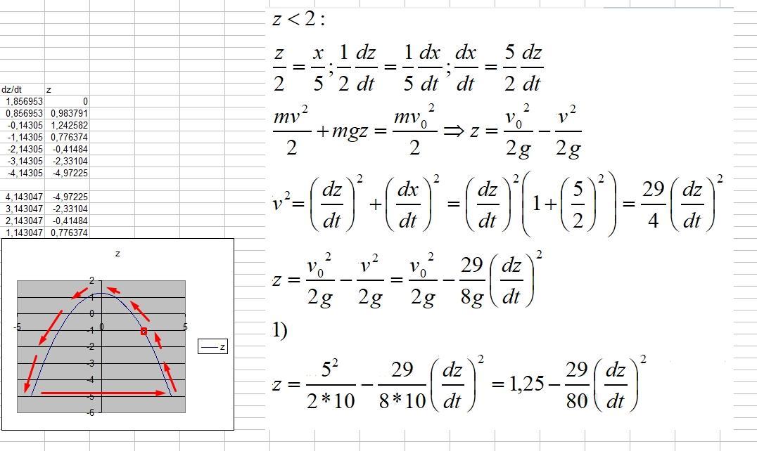
два условия - два вложения - изучайте )
Приложения:


IUV:
красный квадратик - начальная точка, стрелки вдоль направления движения
Вас заинтересует
2 года назад
2 года назад
3 года назад
3 года назад
8 лет назад
8 лет назад