Ответы
Ответ дал:
1
Ответ:
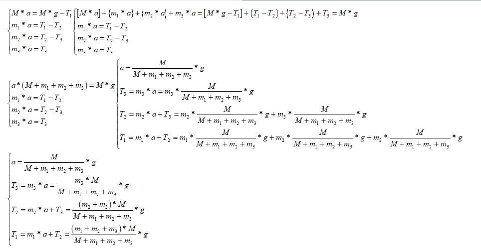
тянет груз M
общая масса системы M +m1+m2+m3
поэтому ускорение равно g*M/(M +m1+m2+m3)
во вложении добавляю само решение
Объяснение:
Приложения:

Вас заинтересует
1 год назад
2 года назад
2 года назад
3 года назад
3 года назад
8 лет назад
Из рисунка видно, что
T1=(m1+m2+m3)a
T2=(m2+m3)a
T3=m3a
К этому также можно прийти, если складывать уравнения в системе уравнений