• Предмет: Алгебра
  • Автор: malaha352
  • Вопрос задан 2 года назад

Помогите пожалуйста решить! ​

Приложения:

Ответы

Ответ дал: sashabruykhanova
1

Объяснение:

держи, приложение очень хорошее, помогает в таких примерах очень хорошо ,так ещё и с объявлением

Приложения:

malaha352: спасибо огромное!
sashabruykhanova: приложение называется:Photomath
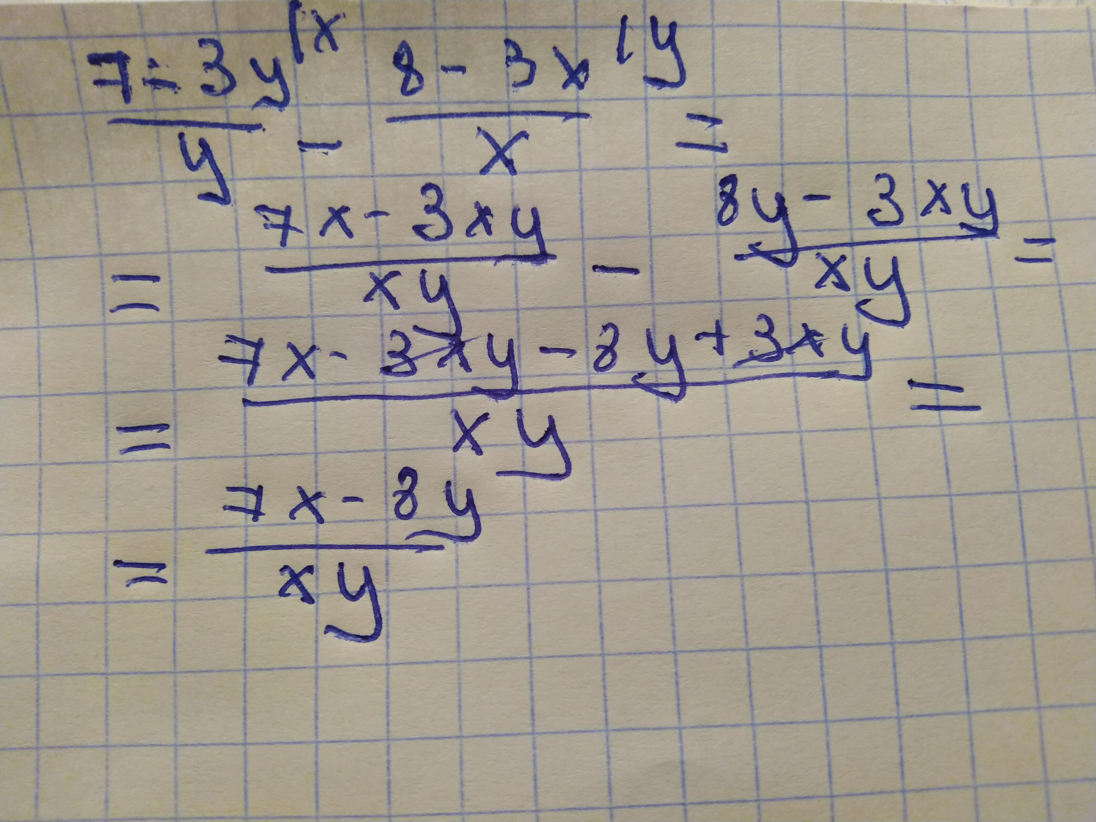
Ответ дал: Tinyhuman
1

Первую дробь нужно домножить на x, а вторую на y, сложить знаменатели, а числитель оставить прежним, всё на фотке)

Приложения:
Вас заинтересует