• Предмет: Математика
  • Автор: Kalash1738
  • Вопрос задан 2 года назад

Помогите пожалуйста!

Приложения:

Ответы

Ответ дал: rusfiz
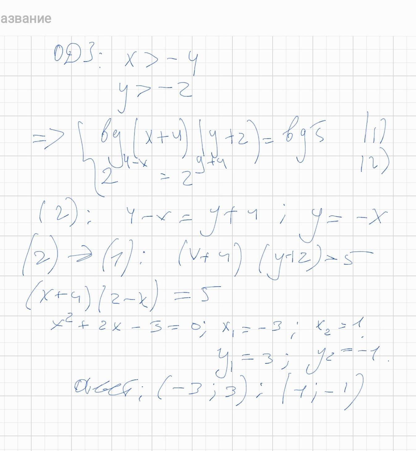
2

Ответ:

.................................

Приложения:

Аноним: ОДЗ найдено не верно
rusfiz: необходимо исправить одз: х>-4; y>-2.
Аноним: здравствуйте не могли бы вы мне помочь с физикой
Ответ дал: Аноним
1

Ответ: во вложении Пошаговое объяснение:

Приложения:

pro8482: помогите мне пожалуйста по математике
Аноним: здравствуйте не могли бы вы мне помочь с физикой
Вас заинтересует