• Предмет: Химия
  • Автор: mrshalo
  • Вопрос задан 2 года назад

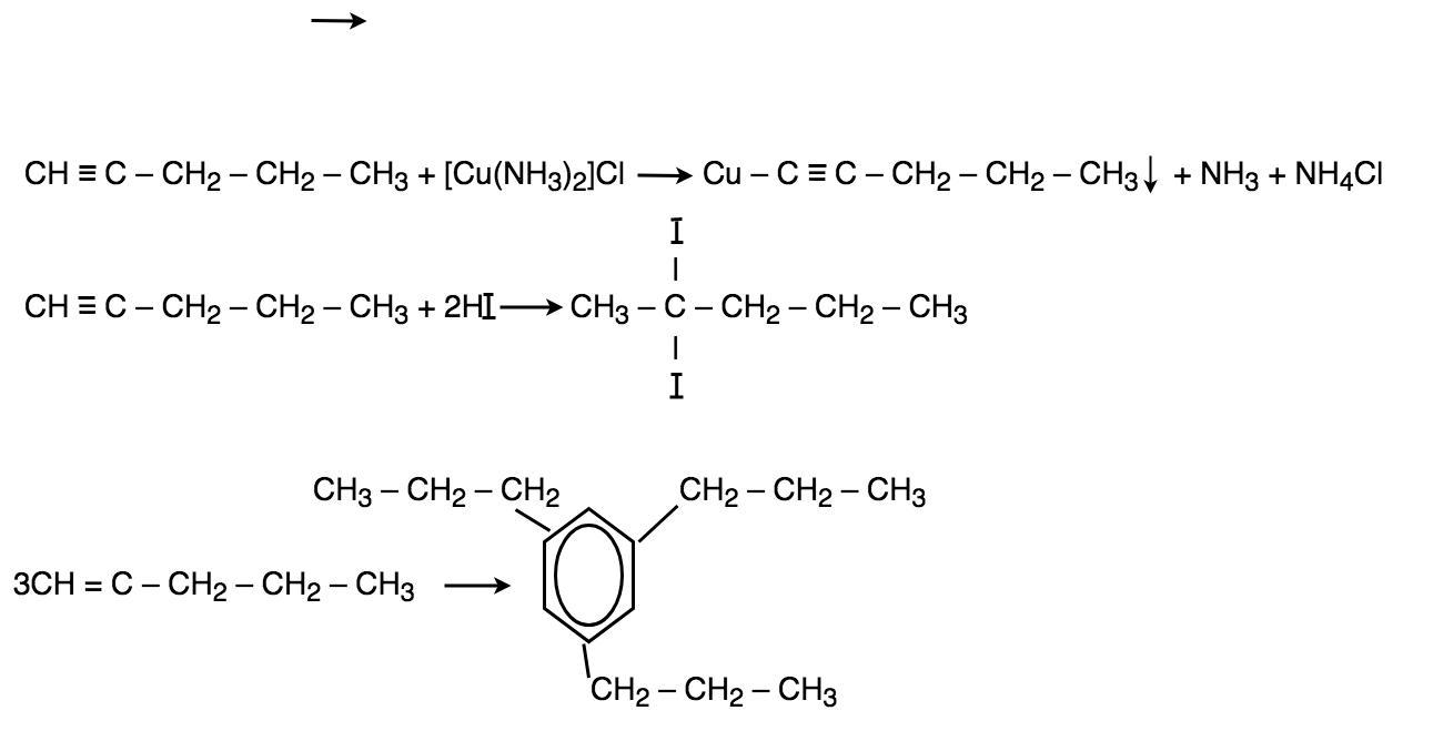
Определите строение и назовите соединения состава С5Н8, если оно реагирует с аммиачным раствором СuCl, давая осадок красного цвета, с HI образует 2,2-диийодпентан, а при циклической полимеризации превращается в 1,3,5-трипропилбензол. Напишите схемы этих реакций.

Ответы

Ответ дал: Nastya808080
1

Ответ:

CH≡C-CH₂-CH₂-CH₃

пентин-1

Объяснение:

Приложения:
Вас заинтересует