ДАЮ 25 БАЛЛОВ
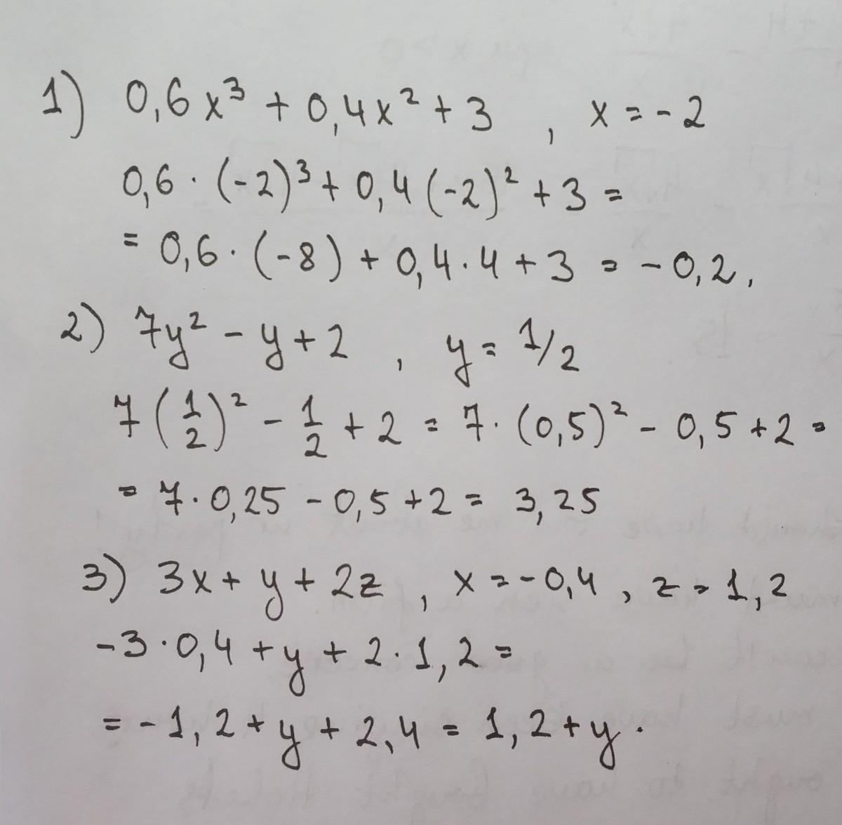
1) Найдите значение выражения 0,6х³+0,4х²+3 при х=-2
2) Найдите значение выражения 7y²-y+2 при y=1/2
3)Найдите значение выражения 3x+y+2z при x= -0,4 ; z=1,2
Ответы
Ответ дал:
2
Ответ:
ответ с решением на фотографии =)
Приложения:

Ответ дал:
0
Ответ:
1)-0,6 × 8 + 0,4 × 4 + 3 = -4,8 + 1,6 + 3 = -0,2
2) 7 × 1/4 - 1/2 + 2 = 7/4 - 1/2 + 2 = 13/4
Вас заинтересует
1 год назад
2 года назад
3 года назад
3 года назад