Ответы
Ответ дал:
1
Ответ:
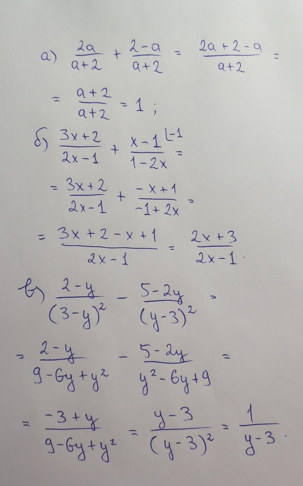
ответ на фотографии =)
Приложения:

nikitanaumov456:
Спасибо огромное
Вас заинтересует
1 год назад
2 года назад
8 лет назад