Найдите наибольший общий делитель чисел:3)16;28;44;
4) 18;27;36.
Аноним:
легко только как написать на коппе? кнопок таких нет!
Ответы
Ответ дал:
1
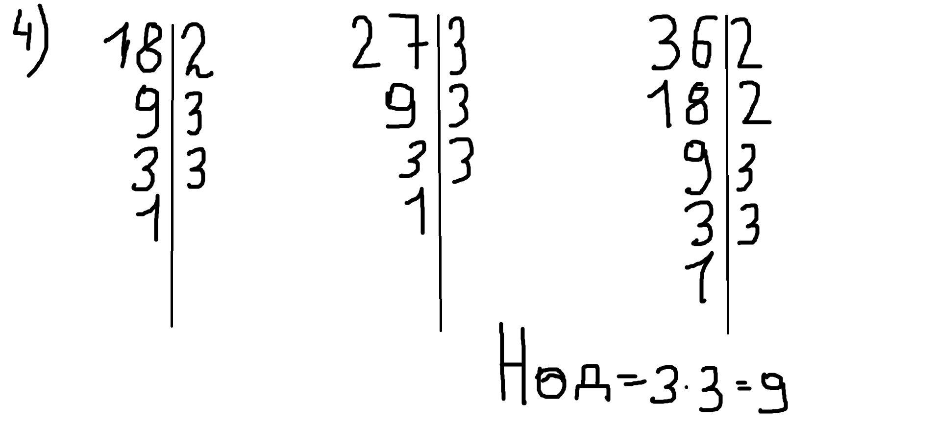
Ответ:
3) - 4
4) - 9
Пошаговое объяснение: ↓↓↓↓↓↓
Приложения:


Вас заинтересует
1 год назад
2 года назад
2 года назад
3 года назад
3 года назад
8 лет назад
8 лет назад