• Предмет: Алгебра
  • Автор: hrbryrbudbjdje63773
  • Вопрос задан 2 года назад

Помогите решить 5 номер, очень прошу!!!

Приложения:

Ответы

Ответ дал: lilyatomach
1

Ответ:

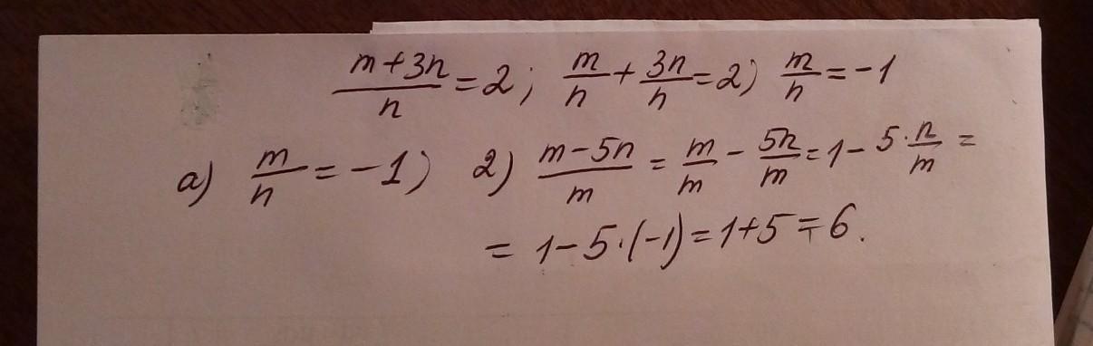
решение представлено на фото

Приложения:
Вас заинтересует