• Предмет: Математика
  • Автор: astra1919
  • Вопрос задан 2 года назад

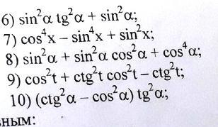
срочно надо пожалуйста

Приложения:

Ответы

Ответ дал: lilyatomach
1

Ответ:

решение представлено на фото

Приложения:
Вас заинтересует