Ответы
Ответ дал:
0
Ответ:
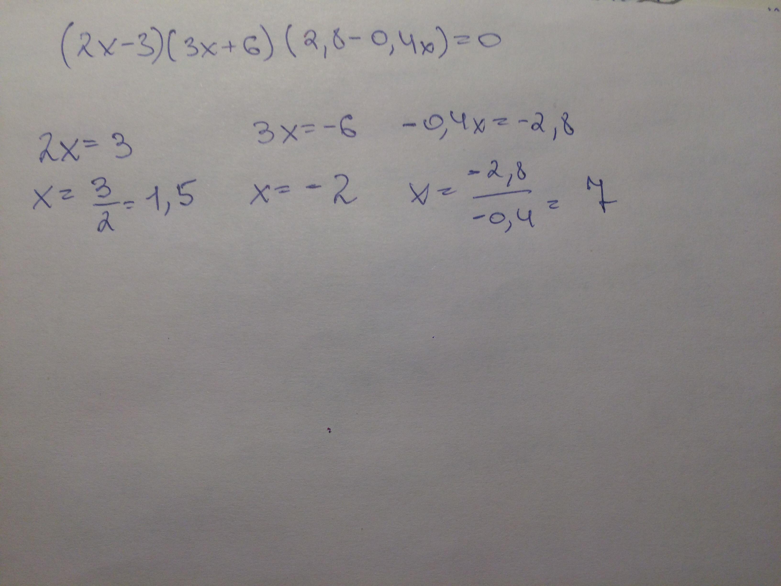
Это уравнение будет равно нулю, если один из ко множителей будет равен нулю)
Объяснение:
Во вложении показано)
Приложения:

Вас заинтересует
1 год назад
2 года назад
2 года назад
3 года назад
3 года назад
8 лет назад