• Предмет: Алгебра
  • Автор: Ctjurcrjun
  • Вопрос задан 2 года назад

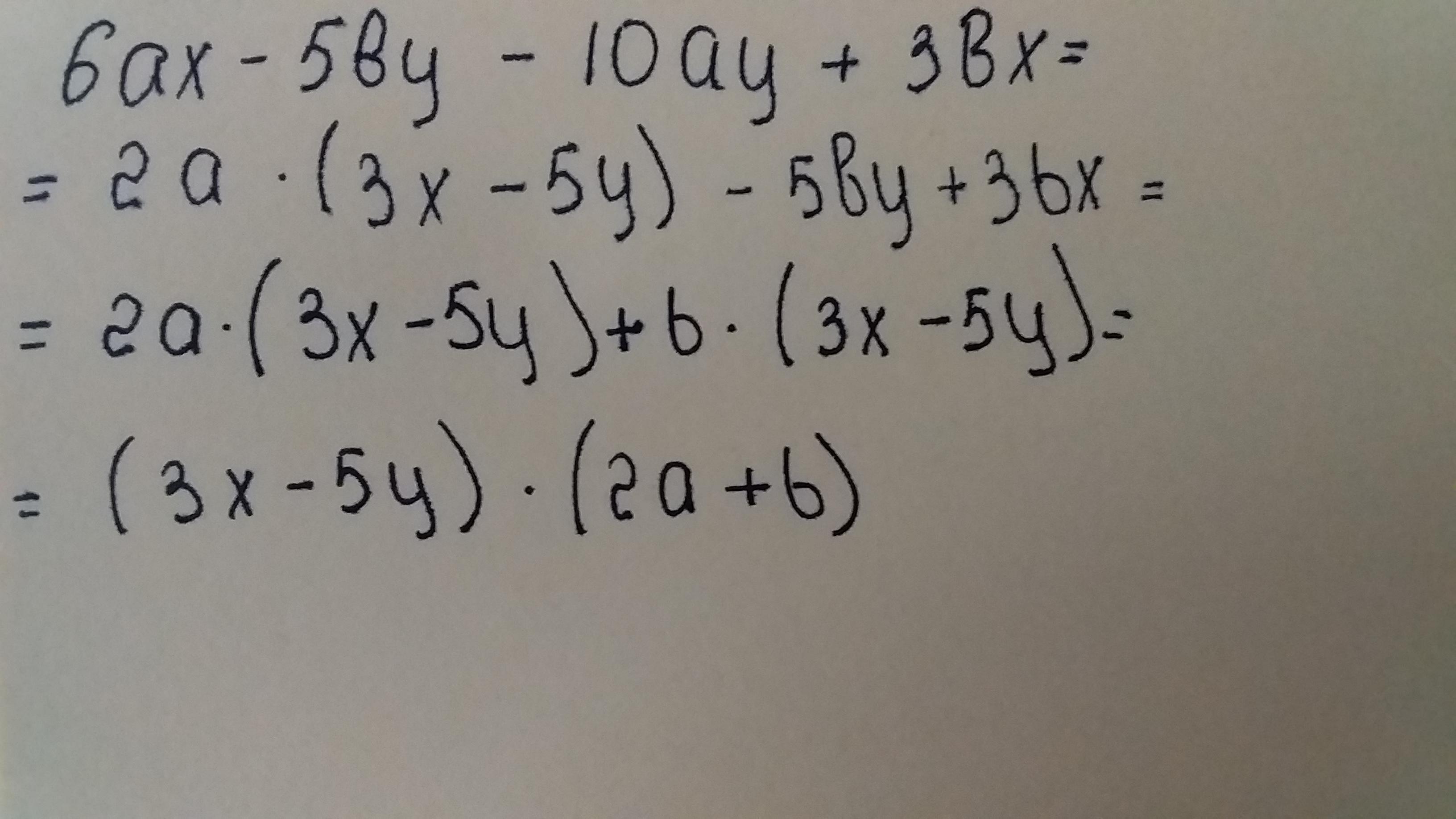
Разложите на множители многочлен: 6ax-5by-10ay+3bx

Ответы

Ответ дал: Nurzhan94
0

Ответ:

(6ax+3bx)-(10ay+5by)= 3x(2a+b)-5y(2a+b)=(3x-5y)(2a+b)

Объяснение:

Ответ дал: alipochka4
0

6ax- 5by - 10ay + 3bx

Приложения:
Вас заинтересует