Помогите пожалуйста плиз прошу очень нужно!!!! :(
Приложения:

catherinepolikova:
В б 19 или 17
Ответы
Ответ дал:
1
Ответ:
А] 43000
В] 19224
В] 125
Г] 150 вроде так
Ответ дал:
1
Ответ:
Пошаговое объяснение:
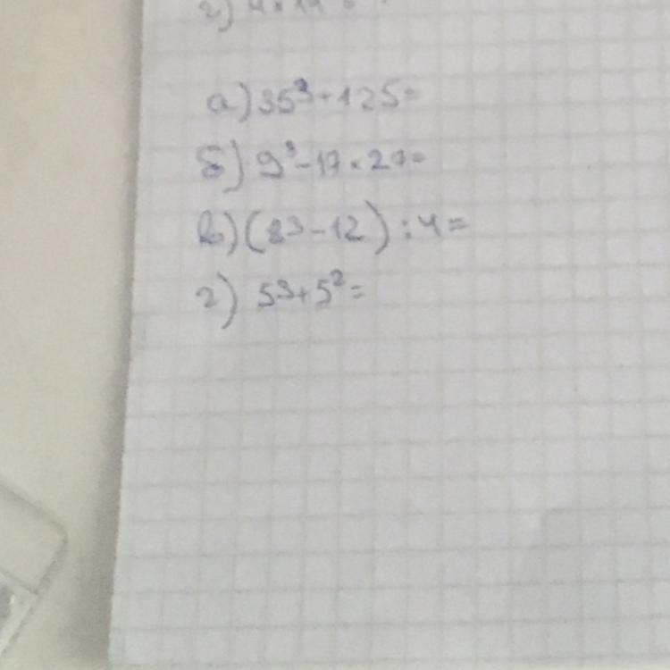
а) 35^3+125=35*35*35+125=42875+125=43000
б) 9^3-17*27=9*9*9-17*27=729-459=270
в) (8^3-12):4=(8*8*8-12):4=(512-12):4=500:4=125
г) 5^3+5^2=5*5*5+5*5=125+25=150
Вас заинтересует
1 год назад
1 год назад
2 года назад
2 года назад
3 года назад
3 года назад
8 лет назад
8 лет назад