• Предмет: Алгебра
  • Автор: kuku7948
  • Вопрос задан 2 года назад

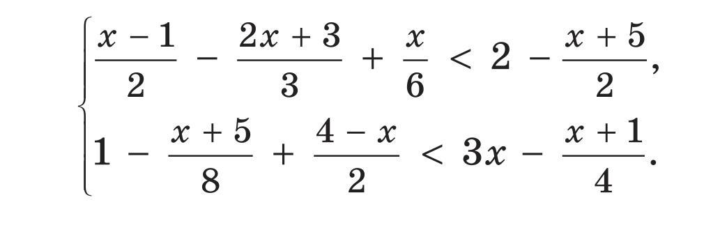
СРОЧНО НУЖНО ПЖ Найдите все целые числа, удовлетворяющие системе неравенств

Приложения:

Ответы

Ответ дал: Universalka
6

\left \{ {{\frac{x-1}{2}*6-\frac{2x+3}{3}*6+\frac{x}{6}*6<2*6-\frac{x+5}{2}*6} \atop {1*8-\frac{x+5}{8}*8+\frac{4-x}{2}*8<3x*8-\frac{x+1}{4}*8}} \right. \\\\\left \{ {{3(x-1)-2(2x+3)+x<12-3(x+5)} \atop {8-(x+5)+4(4-x)<24x-2(x+1)}} \right. \\\\\left \{ {{3x-3-4x-6+x<12-3x-15} \atop {8-x-5+16-4x<24x-2x-2}} \right. \\\\\left \{ {{-9<-3x-3} \atop {-5x+19<22x-2}} \right.\\\\\left \{ {{3x<6} \atop {27x>21} }} \right.\\\\\left \{ {{x<2} \atop {x>\frac{7}{9} }} \right.

Otvet:\boxed{ x\in(\frac{7}{9};2)}

Одно целое число : 1

Вас заинтересует