Ответы
Ответ дал:
0
Ответ:...............
Пошаговое объяснение:
Приложения:

Ответ дал:
0
Ответ:
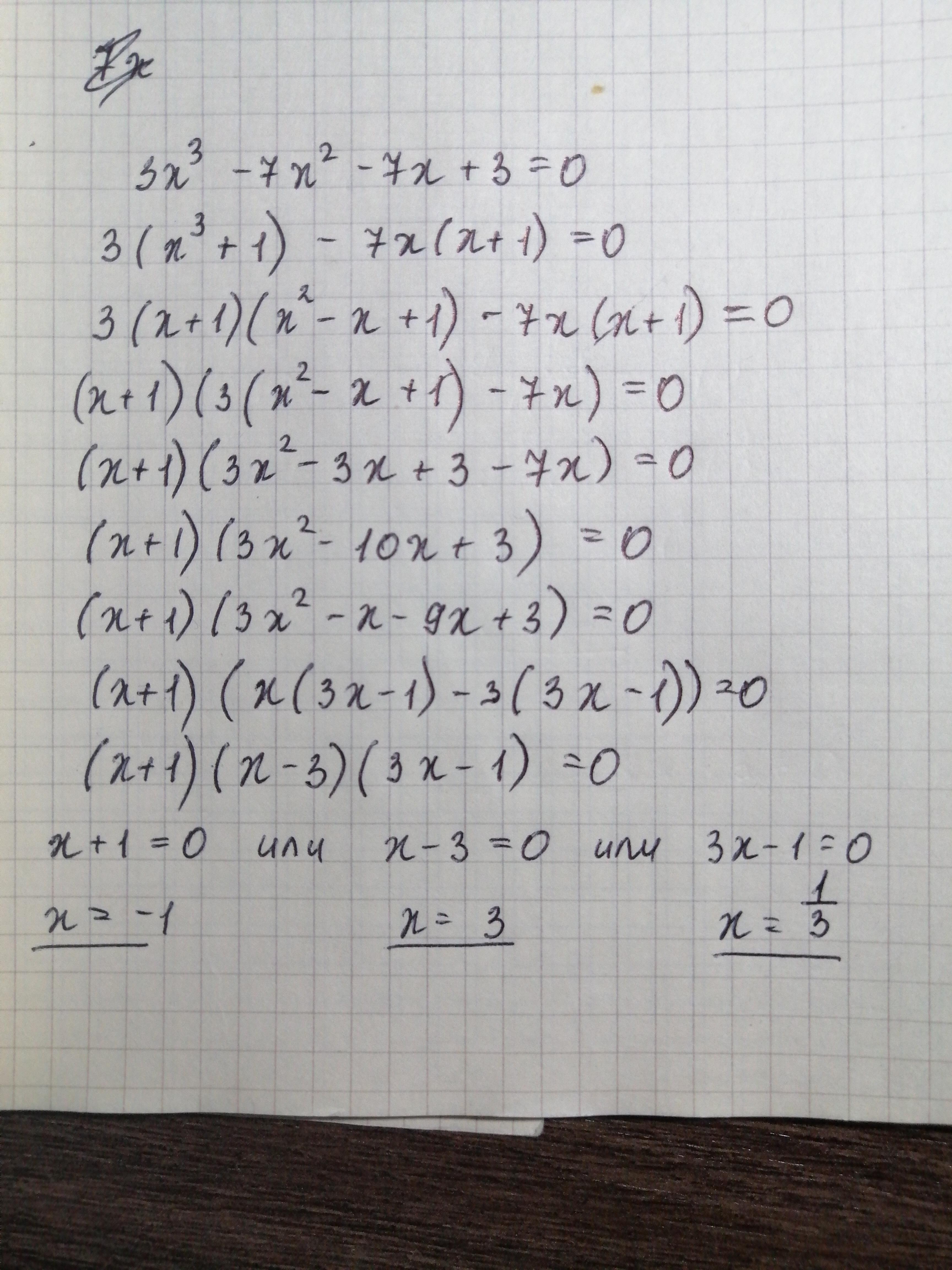
x=-1; x=1/3; x=3
Пошаговое
3(х куб +1) -7х(х+1)=0
3(х+1)(х квадрат - х + 1) -7х(х+1)=0
(х+1)(3(х квадрат -х+1)-7х)=0
(х+1)(3х квадрат -3х+3-7х)=0
(х+1)(3х квадрат -10х+3)=0
(х+1)(3х квадрат -х-9х+3)=0
(х+1)(х(3х-1)-3(3х-1)=0
(х+1)(3х-1)(х-3)=0
Вас заинтересует
1 год назад
2 года назад
2 года назад
3 года назад
3 года назад
8 лет назад