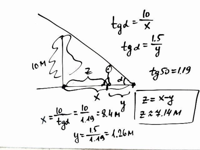
На каком расстоянии от дерева находится человек ростом 1,5 м, высота дерева 10 м. Угловая высота источника света 50 градусов (tg 50 градусов = 1,19)
Ответы
Ответ дал:
1
Ответ:
Объяснение:
На каком расстоянии от дерева находится человек ростом 1,5 м, высота дерева 10 м. Угловая высота источника света 50 градусов (tg 50 градусов = 1,19)
Приложения:

Вас заинтересует
1 год назад
1 год назад
2 года назад
2 года назад
3 года назад
3 года назад