Найти сумму целых отрицательных решений неравенства:
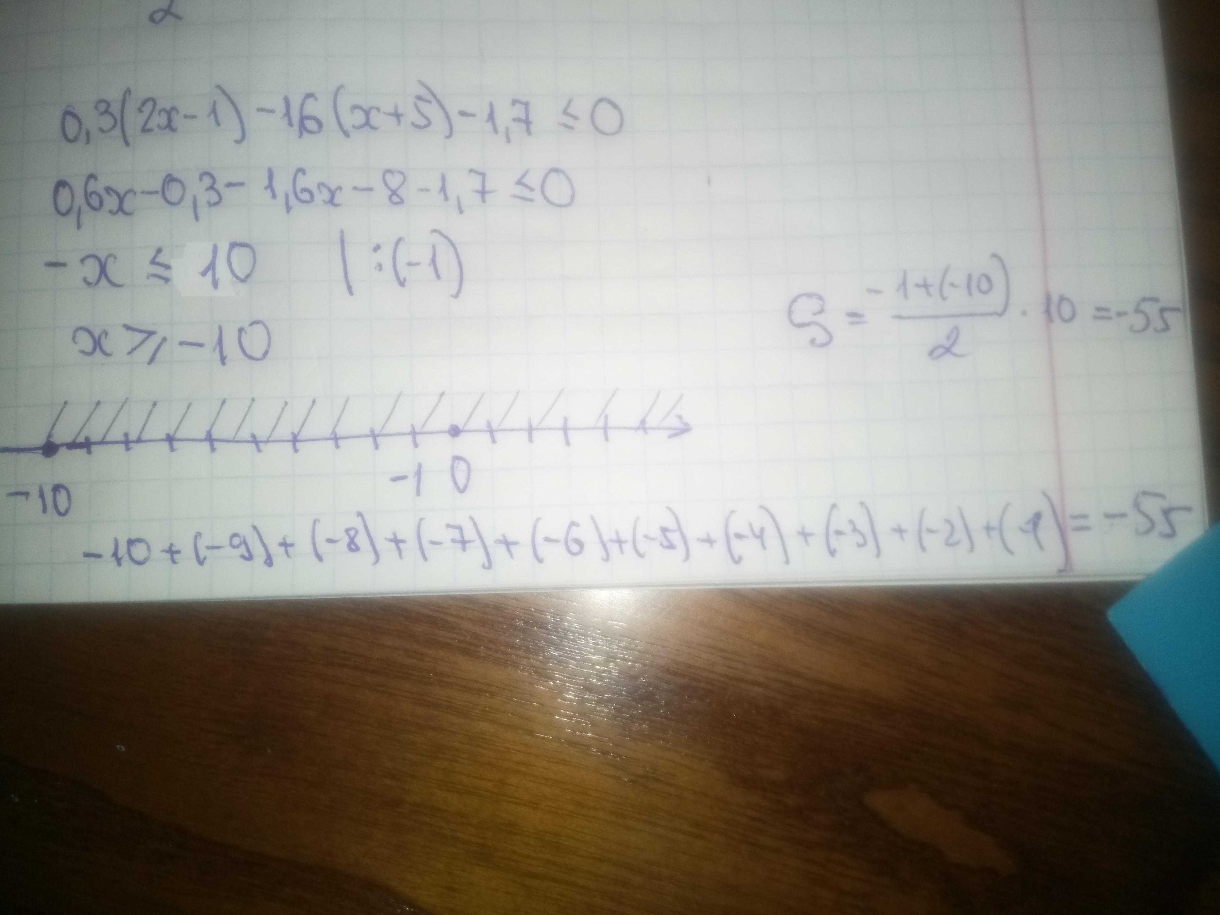
0.3(2x-1)-1.6(x+5)-1.7≤0 (-55 ответ) Но не понимаю как решать... Помогите пожалуйста и объясните как правильно находить, спасибо! :)
Ответы
Ответ дал:
1
Решение задания приложено
Приложения:

machluk228:
Большое спасибо! Не заметил как делаю очевидную ошибку! Спасибо!
Вас заинтересует
1 год назад
2 года назад
2 года назад
8 лет назад