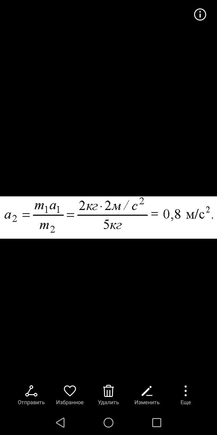
Тело массой 20кг приобретает под действием некоторой силы ускорение 2м/с2. Какое ускорение приобретает под действием этой силы тело массой 50кг?
qhrjfbfj:
Написать текст по кластеру "Интерфейс".
Ответы
Ответ дал:
1
Ответ:вот так должно быть
Объяснение:
Приложения:

Вас заинтересует
1 год назад
1 год назад
2 года назад
2 года назад
3 года назад
3 года назад
8 лет назад