40 баллов пожалуйста!!!!!!!!!! быстрее!!!!!!!!!!!​ Алгебра срочно!!!!

Приложения:

Ответы

Ответ дал: aslan19112005
1

Объяснение:

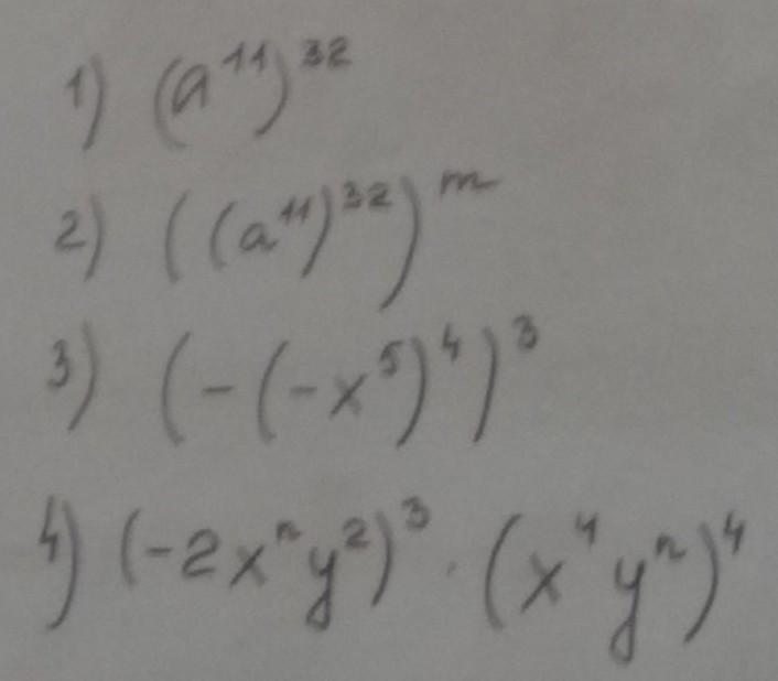
a352 степени

а352m степени

-x60степени

Вас заинтересует