• Предмет: Математика
  • Автор: ariannalisa2004
  • Вопрос задан 2 года назад

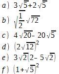
УМОЛЯЮ РЕШИТЕ.НЕ ПРОСТО ОТВЕТ.А С РЕШЕНИЯМИ.

Приложения:

Ответы

Ответ дал: dimmaric03
0

Ответ:

Пошаговое объяснение:

а) 3√5+2√5=5√5

б) √1/2 * √72=√(72/2)=√36=6

с) 4√20-20√5=4√(4*5)-20√5=4*2√5-20√5=-12√5

д) (2√12)²=2²*12=4*12=48

е) 3√2(2-5√2)=3*2√2-3*5√2*√2=6*√2-15*2=6√2-30

ф) (1+√5)=1+2√5+(√5)²=1+2√5+5=6+2√5

Вас заинтересует