• Предмет: Алгебра
  • Автор: andrkeg76
  • Вопрос задан 2 года назад

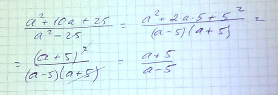
упростите выражение ​

Приложения:

Ответы

Ответ дал: Аноним
0

= решение = решение = решение = решение = решение =

Приложения:
Вас заинтересует