• Предмет: Алгебра
  • Автор: арс821
  • Вопрос задан 2 года назад

номер 7,8,9пж
очень много балов​

Приложения:

Ответы

Ответ дал: netimeni33
0

Ответ:

Там написано 8 задание, 9 не видно

Приложения:

арс821: ответ должен быть64
netimeni33: Нет
Ответ дал: Ruslan2909
1

Ответ:

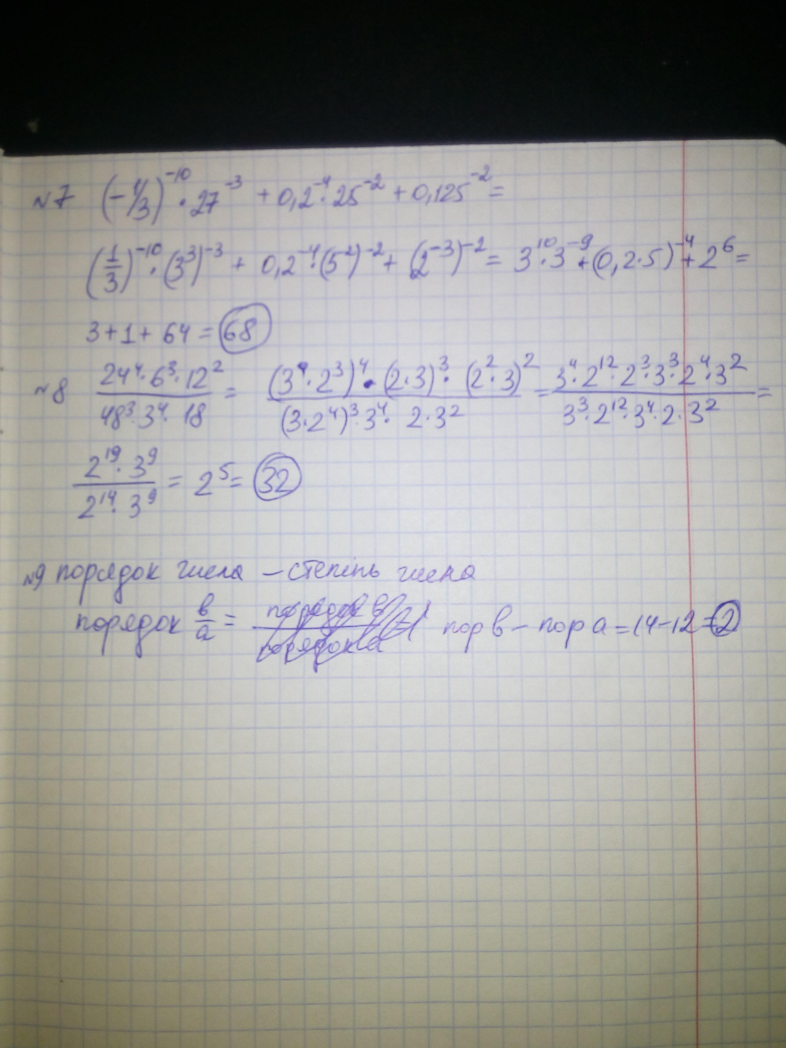
Объяснение:

На фото

Приложения:

Ruslan2909: Перепрошую. В 8 завданні в знаменнику 2^13 замість 2^14, відповідно виходить 2^6 замість 2^5, тобто 64
netimeni33: Оо
netimeni33: Спасибо
Вас заинтересует