• Предмет: Алгебра
  • Автор: zip248
  • Вопрос задан 2 года назад

Помогите решить плееееез​

Приложения:

Ответы

Ответ дал: katya2002osen
1

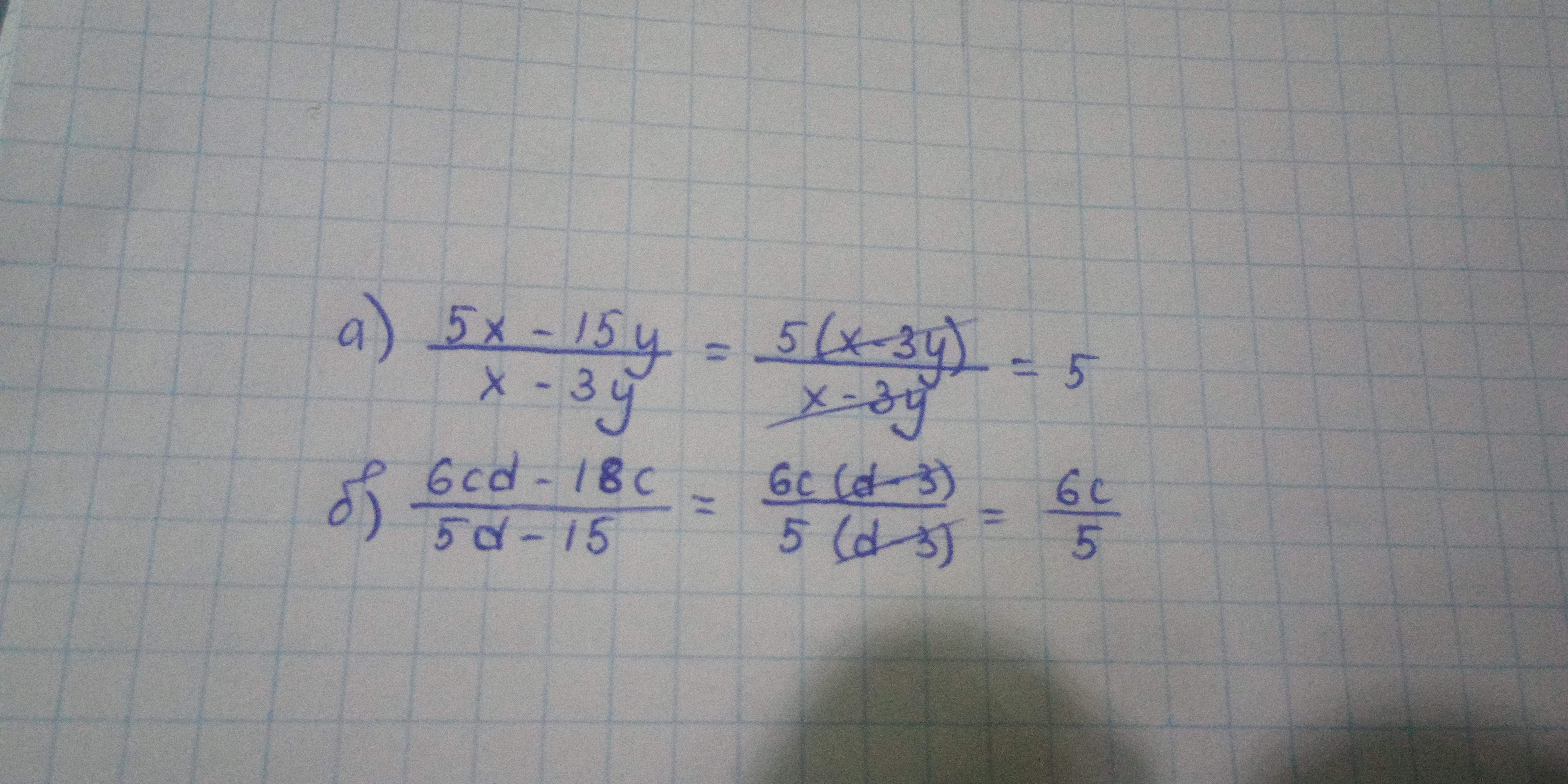
Ответ:1) 5

2) 6с:5

Объяснение:

Сначала выносим общее число за скобку, сокращаем одинаковые части и получаем ответ

Приложения:
Ответ дал: tatsach
1

Ответ:

Объяснение:

а) = 5(х-3у) \ х-3у = 5

б) = 6с(d-3) \ 5 (d-3)= 6c\5

Вас заинтересует