• Предмет: Математика
  • Автор: Egghhdzbh
  • Вопрос задан 2 года назад

БЫСТРЕЕ ПРОШУ ОЧЕНЬ НУЖНО(уже не нужно :( )

Приложения:

Ответы

Ответ дал: rusfiz
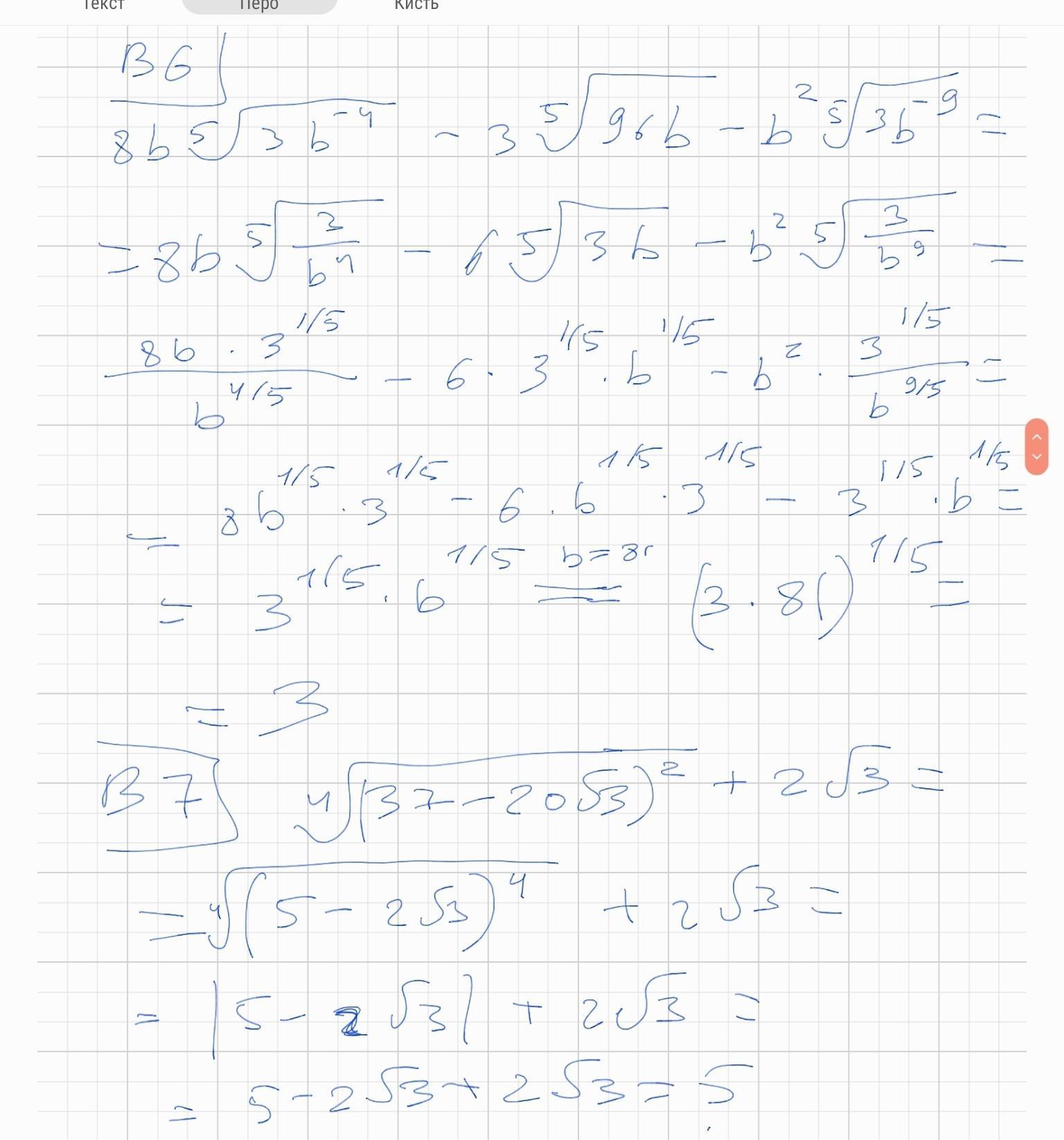
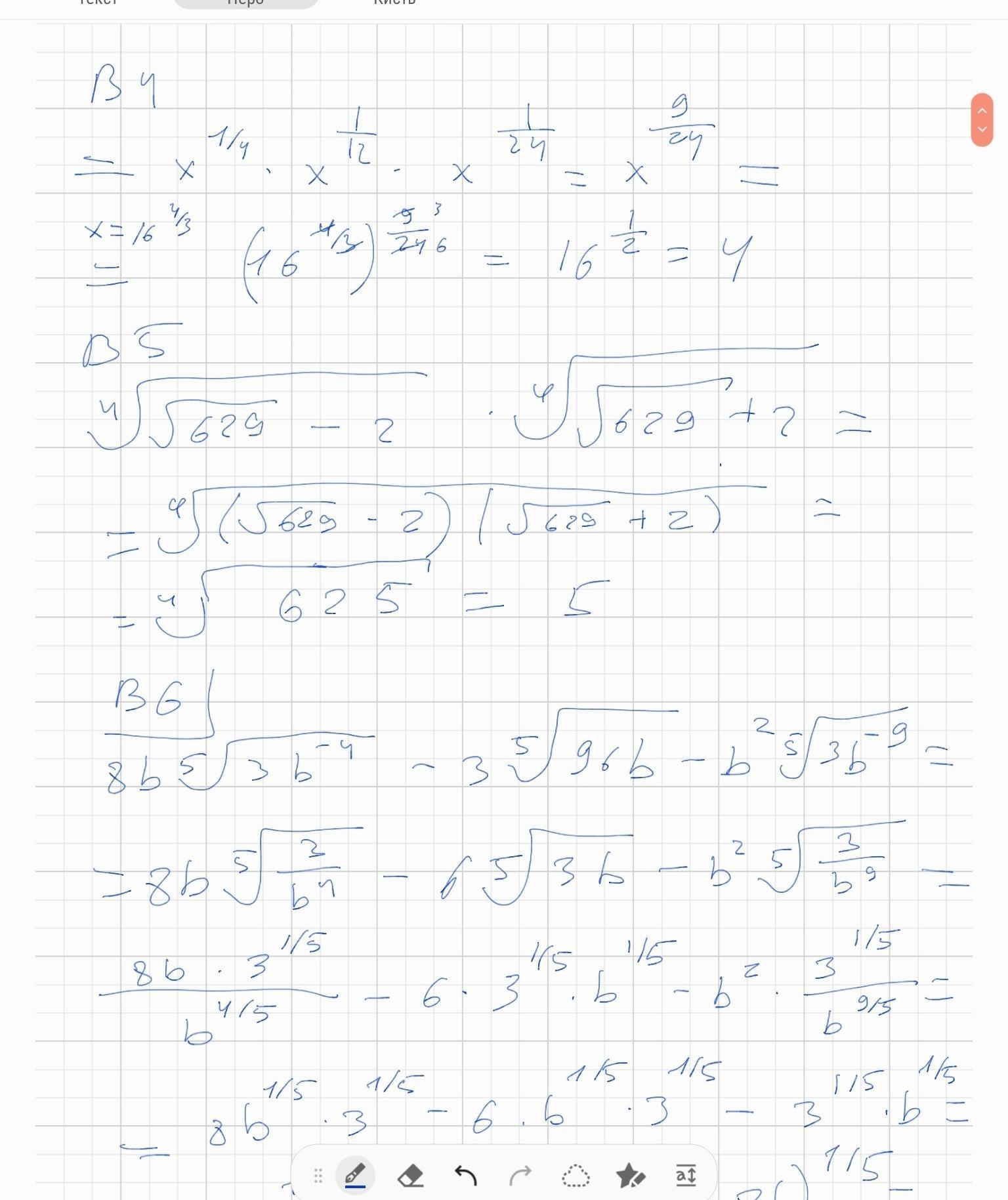
1

Ответ:

............................

Приложения:
Вас заинтересует