Ответы
Ответ дал:
0
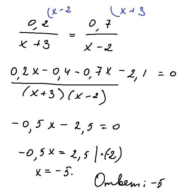
Ответ:x=-5
Объяснение:
----------------------
Приложения:

Ответ дал:
0
Объяснение:
,,,,,,,,,,,,,,,,,,,,,
Приложения:

Вас заинтересует
1 год назад
1 год назад
2 года назад
2 года назад
3 года назад
3 года назад
8 лет назад