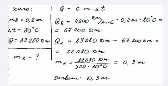
определите массу алюминиевой кастрюли в которой было доведено до кипения 200 г воды с начальной температурой 20 если на это было затрачено количество теплоты равное 89280 дж
Ответы
Ответ дал:
4
вот ответ...........:)пожалуйста
Приложения:

Вас заинтересует
1 год назад
1 год назад
3 года назад
3 года назад
8 лет назад