помогите пожалуйста, это очень важно!!!
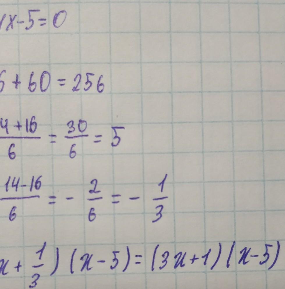
сократите дробь 3х²-14х-5
4х²-21х+5
между ними дробная черта)
Ответы
Ответ дал:
1
Ответ:
Извиняюсь за все косяки
Приложения:





kirill89828:
ат души)))
Вас заинтересует
1 год назад
2 года назад
2 года назад
3 года назад
8 лет назад