• Предмет: Математика
  • Автор: xihenifd
  • Вопрос задан 2 года назад

ПОМОГИТЕ ПОЖАЛУЙСТА РЕШИТЬ

Приложения:

Ответы

Ответ дал: MikhailPodgornov
0

Ответ:

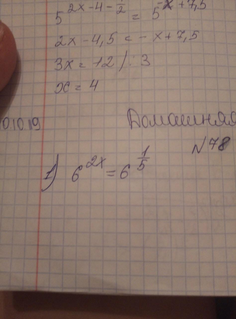
Посмотрите во вложении...там все решено

Приложения:
Ответ дал: Olga8128
4

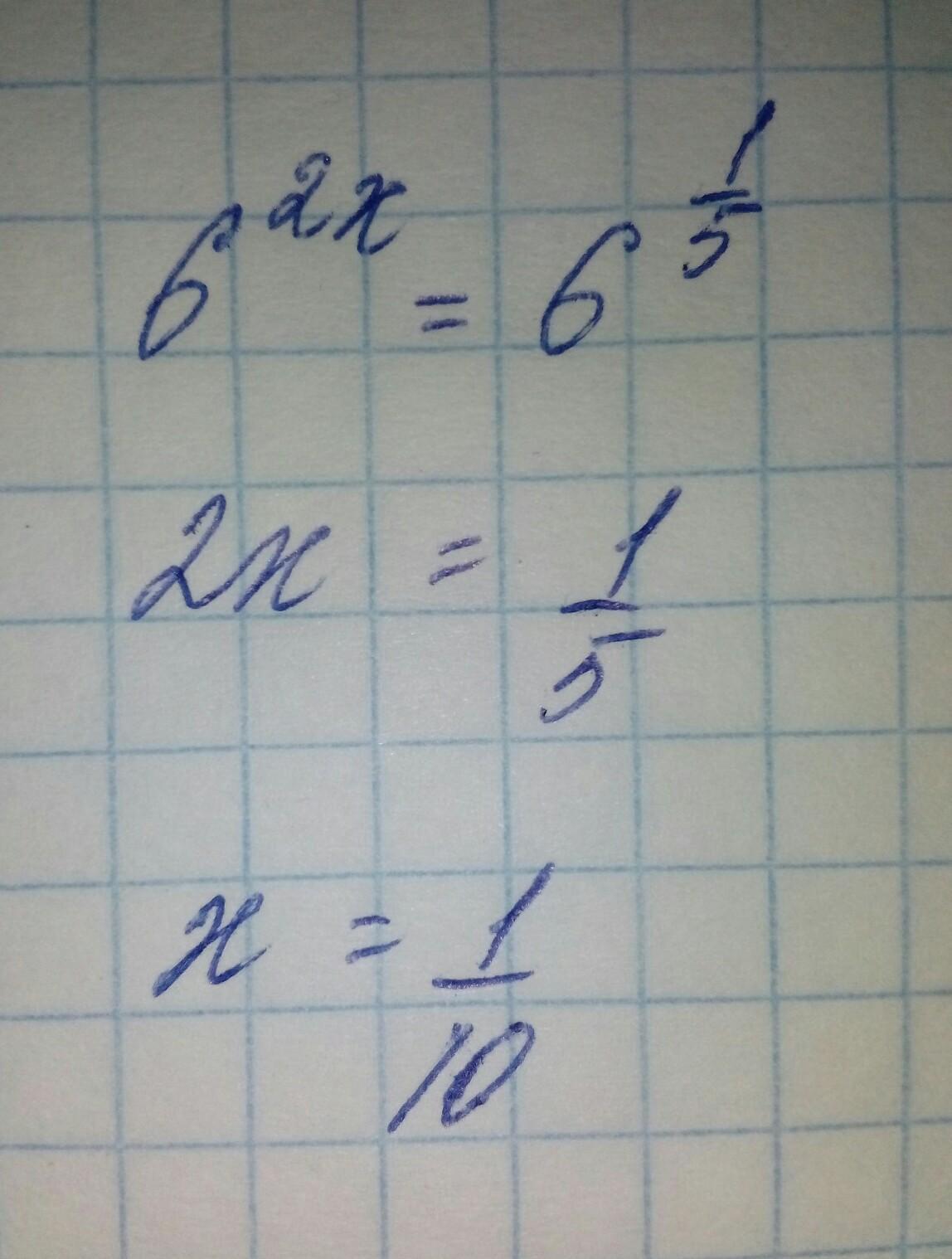
Ответ:  \displaystyle x=0.1\;.

Решение:

\displaystyle 6^{2x}=6^{\frac{1}{5} }; \;\;\;\;\; \Rightarrow \;\;\;\;\; 2x=\frac{1}{5}; \;\;\;\;\; x=\frac{1}{5} :2; \;\;\;\;\; x=\frac{1}{10} = 0.1\;.

Вас заинтересует