• Предмет: Математика
  • Автор: DEADЕYE
  • Вопрос задан 2 года назад

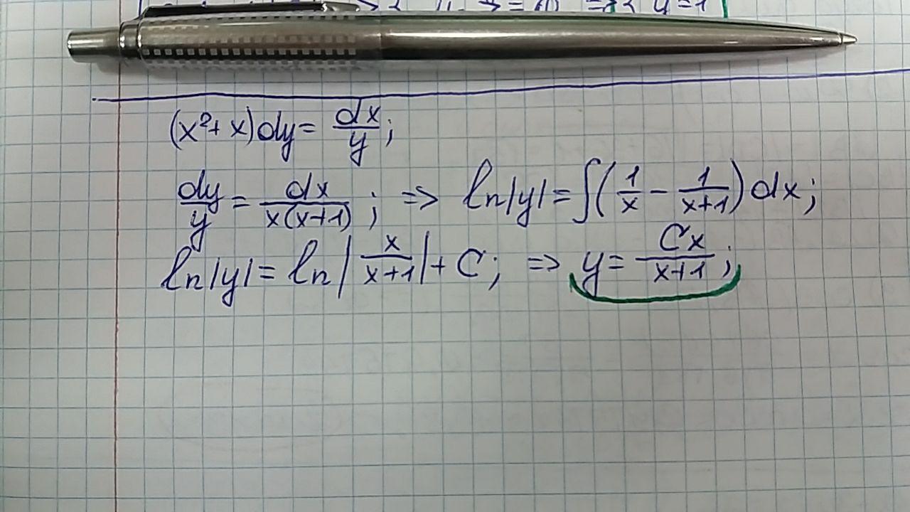
Решить диффиренцальные уравнения с разделяющимися переменными.
(x^2+x)dy=dx/y

Ответы

Ответ дал: HSS9860
1

Посмотрите предложенное решение; ответ отмечен цветным.

Приложения:

DEADЕYE: Спасибо
Вас заинтересует