• Предмет: Физика
  • Автор: pochekutova
  • Вопрос задан 11 лет назад

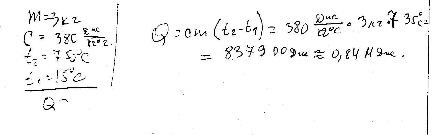
Перед горячей штамповкой латунную болванку массой 3 кг нагрели от 15 градусов до 750 градусов. Какое кол-во теплоты получила болванка? Удельная теплоемкость латуни 380 Дж

Ответы

Ответ дал: ужнеужели
0
Перед горячей штамповкой латунную болванку массой 3 кг нагрели от 15 градусов до 750 градусов. Какое кол-во теплоты получила болванка? Удельная теплоемкость латуни 380 Дж
Приложения:
Вас заинтересует