Ответы
Ответ дал:
1
Решение приложено к снимку:
Приложения:

shashovaler:
благодарю
Ответ дал:
1
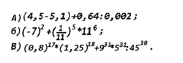
Ответ:
а) 319,4
Объяснение:
1)4,5 - 5,1 = - 0,6
2) 0,64 : 0,002 = 640 : 2 = 320
3) - 0,6 + 320 = 319,4
Вас заинтересует
1 год назад
1 год назад
2 года назад
2 года назад
3 года назад
3 года назад
8 лет назад