• Предмет: Алгебра
  • Автор: vosstanovlenie34017
  • Вопрос задан 2 года назад

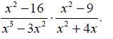
Выполнить умножение x^2-16/x³-3x²*x²-9/x²+4x

Приложения:

Ответы

Ответ дал: saygidov005dag
7

Ответ:нужно идти по этому направлению

Объяснение:

Приложения:
Вас заинтересует