• Предмет: Алгебра
  • Автор: gsfjdfioh
  • Вопрос задан 2 года назад

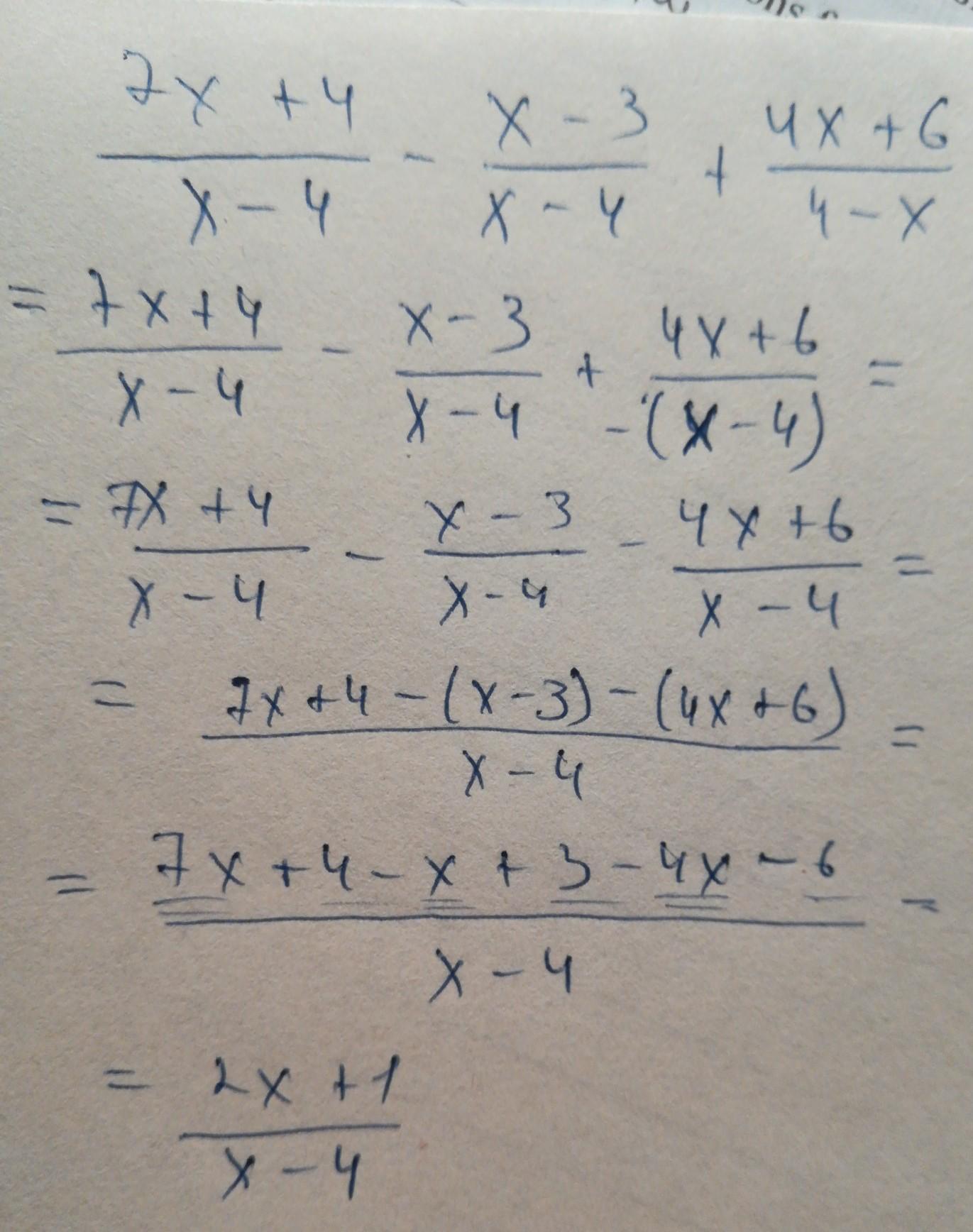
Упрости выражение...

Приложения:

Ответы

Ответ дал: Natalasorochynska
1

Объяснение:

Вот.❤️................

Приложения:
Вас заинтересует