• Предмет: Физика
  • Автор: Ramil16
  • Вопрос задан 2 года назад

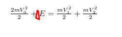
\frac{2mV_{0}^{2}  }{2} + E=\frac{mV_{1}^{2}  }{2} + \frac{mV_{2}^{2}  }{2}


Выразить V1.
Зы. где Е там дельта "Е"

Приложения:

Ответы

Ответ дал: fatt52
1

Ответ:

Объяснение:

2*vo²+2*ΔE/m=v1²+(v1-2*vo)²

2*vo²+2*ΔE/m=v1²+v1²-2*v1*vo+4*vo²

v1²-vo*v1+vo²-ΔE/m=0     (Квадратное уравнение)

v1=(vo+√(vo²-4*(vo²-ΔE/m))/2

==========================

==========================


Ramil16: Ой я забыл,что там вместо V2=V1-2V0
Ramil16: вот тут https://znanija.com/task/33043391
fatt52: Исправил, ошибся в расчёте....
Ramil16: Чет не получается
Ramil16: данные такие: V0=500
Ramil16: дельта E =0.27 МДж
Ramil16: m=1.5
Ramil16: и должно получится около 924 м на с
Вас заинтересует