• Предмет: Алгебра
  • Автор: nikagorbunova
  • Вопрос задан 2 года назад

ПОМОГИТЕ С АЛГЕБРОЙ!
8 КЛАСС.
ДАЮ 80 БАЛЛОВ))

Приложения:

ВолчикМаша: тут не 80 баллов(

Ответы

Ответ дал: Аноним
0

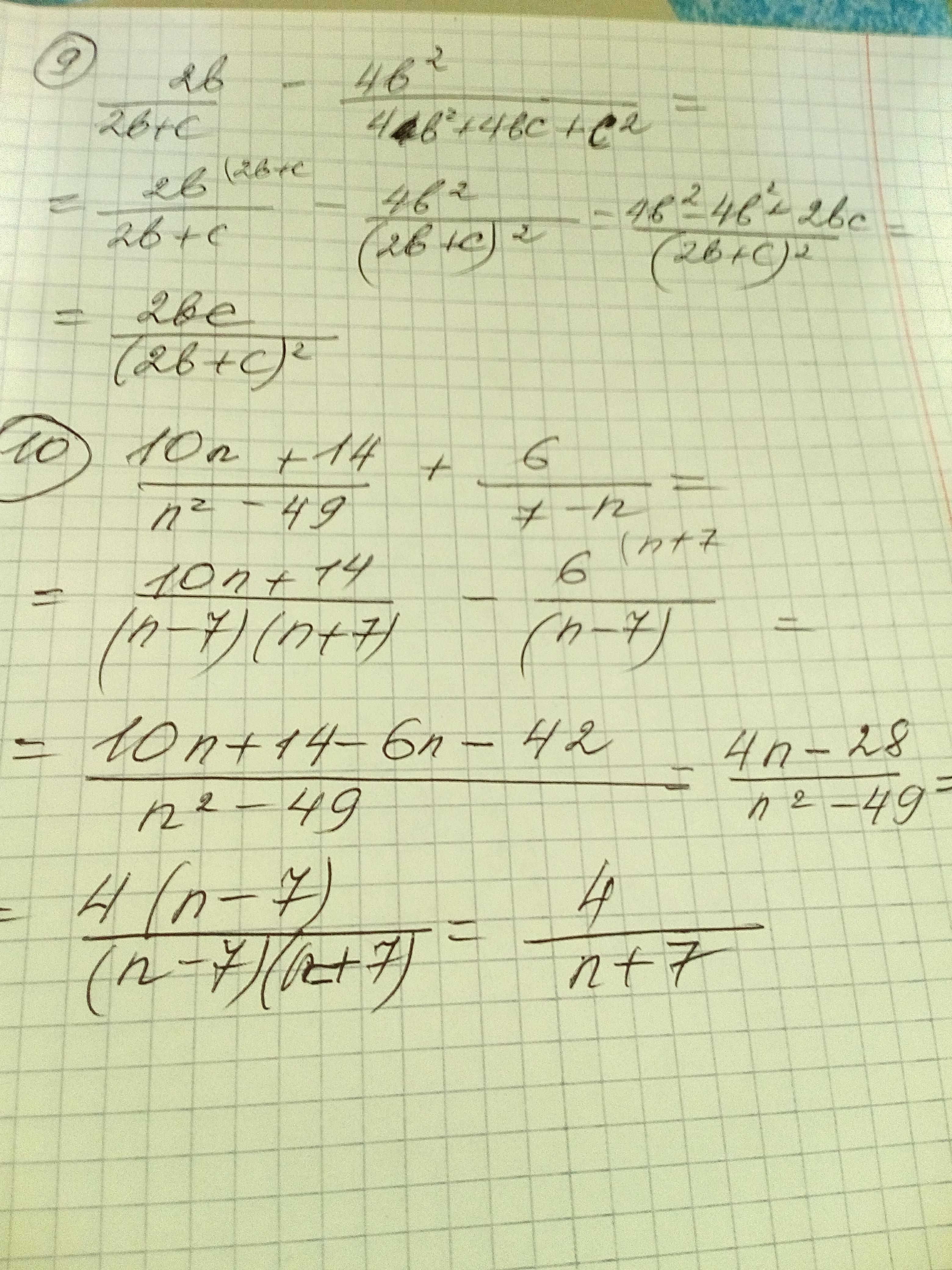
Ответ: во вложении Объяснение:

Приложения:
Вас заинтересует
3 года назад