Предел вида:
Приложения:

Tuc14:
Что эт такое?
Ответы
Ответ дал:
1
Пошаговое объяснение: в приложении
Приложения:

Ответ дал:
1
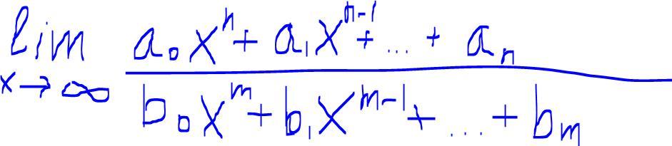
Ели n и m - наибольший показатель соответственно числителя и знаменателя, то
1) если n<m, то предел будет равен нулю.
2) если n>m, то пределе равен ∞
n=m, то предел равен а₀/в₀
Вас заинтересует
1 год назад
1 год назад
2 года назад
3 года назад