Ответы
Ответ дал:
1
Ответ:
на фото
Пошаговое объяснение:
Приложения:

Ответ дал:
0
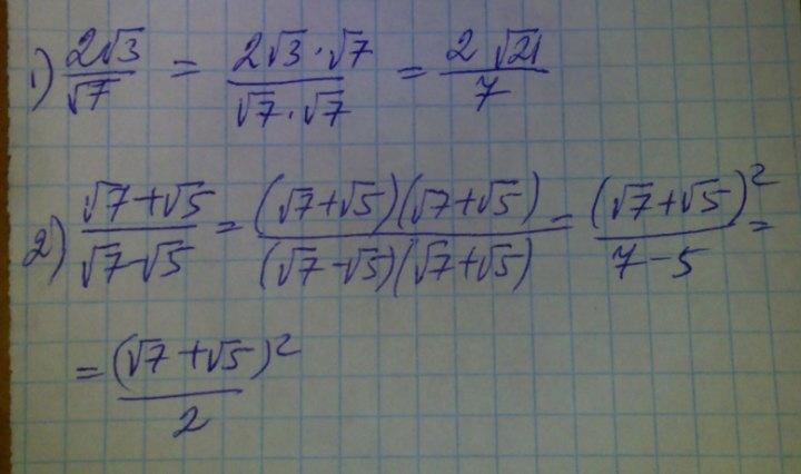
2√3/=2√3√7/(√7)²=2√21/7
(√7+√5)²/(√7-√5)*(√7+√5)=(7+5+2√35)/(7-5)=2*(6+√35)/2=6+√35
Вас заинтересует
1 год назад
1 год назад
2 года назад
2 года назад
3 года назад
3 года назад
8 лет назад