• Предмет: Алгебра
  • Автор: regina10000000000
  • Вопрос задан 2 года назад

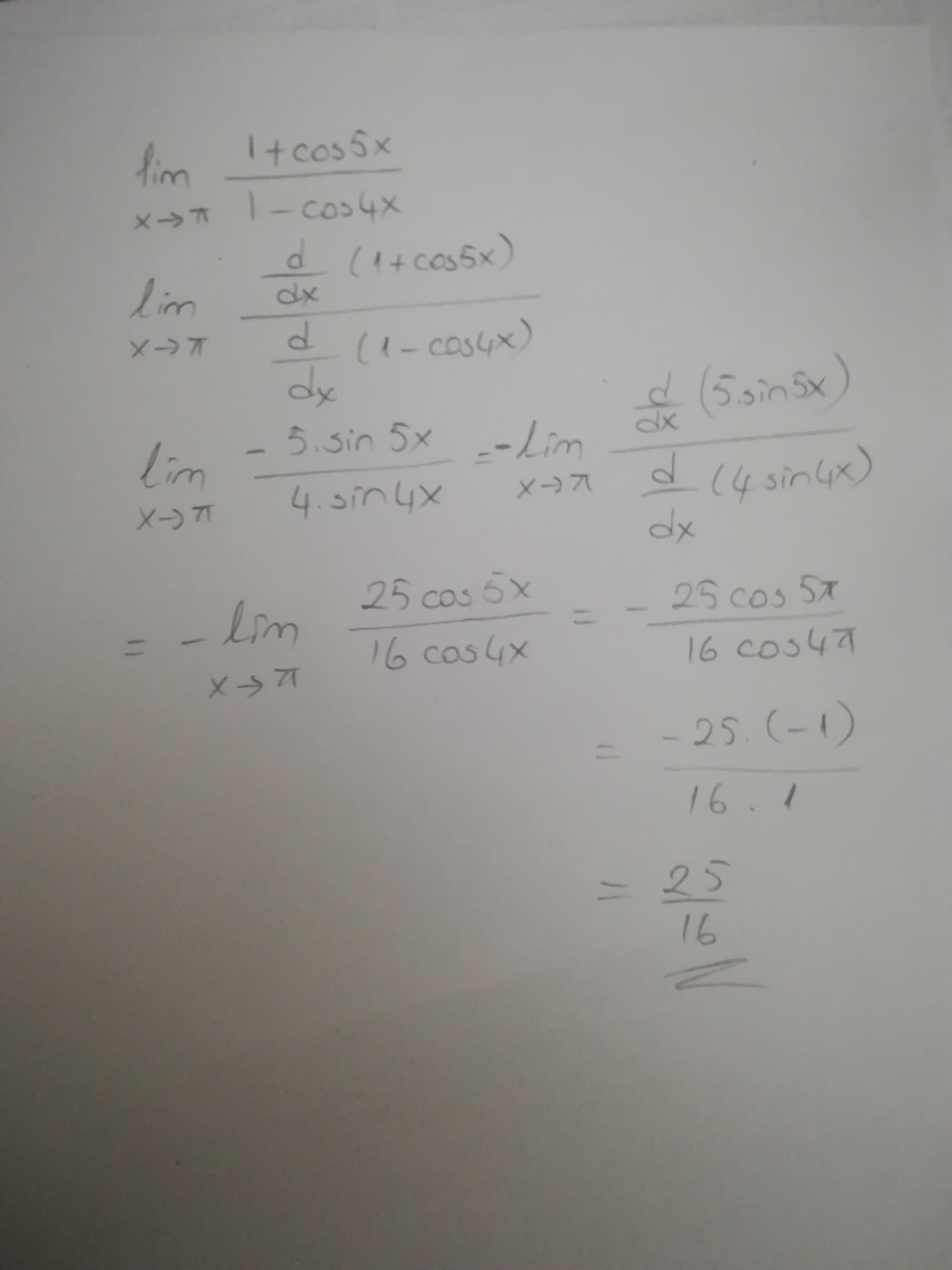
Найти предел функции при х стремится к пи

Приложения:

Ответы

Ответ дал: Mirage86
1

I hope this helps you

Приложения:

regina10000000000: решение верное, но нам необходимо решить с помощью упрощения, правило лопиталя не разрешено пока использовать.
Mirage86: oh I'm really sorry, i can do only this way you can report my answer :(
regina10000000000: Thank you)
Аноним: Косинус четырех Пи равен нулю. Ответ - бесконечность.
Аноним: перепутал знаки в условии...
Аноним: и функции. синус с косинусом))))))))
Ответ дал: Аноним
1

Ответ: по вложении объяснение:

Приложения:

regina10000000000: с правилом лопиталя решается в 2 строчки, это да) но нам его использовать нельзя, то есть надо как-то преобразовать и упростить. к сожалению, не отметила это в условии, тк забыла
Аноним: Если успею, то решу по - другому.
regina10000000000: вы бы очень помогли!)
Вас заинтересует