• Предмет: Геометрия
  • Автор: РиТа456
  • Вопрос задан 2 года назад

Найти площадь трапеции ABCD, 60 баллов

Приложения:

Ответы

Ответ дал: MelQ
1

Ответ:

Объяснение:

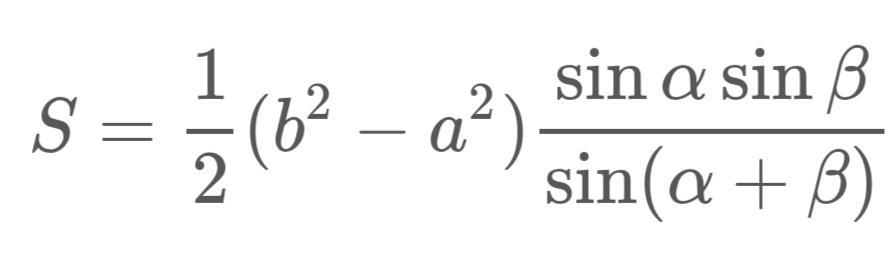
Вот формула

Приложения:
Вас заинтересует