• Предмет: Алгебра
  • Автор: multifselennaya
  • Вопрос задан 2 года назад

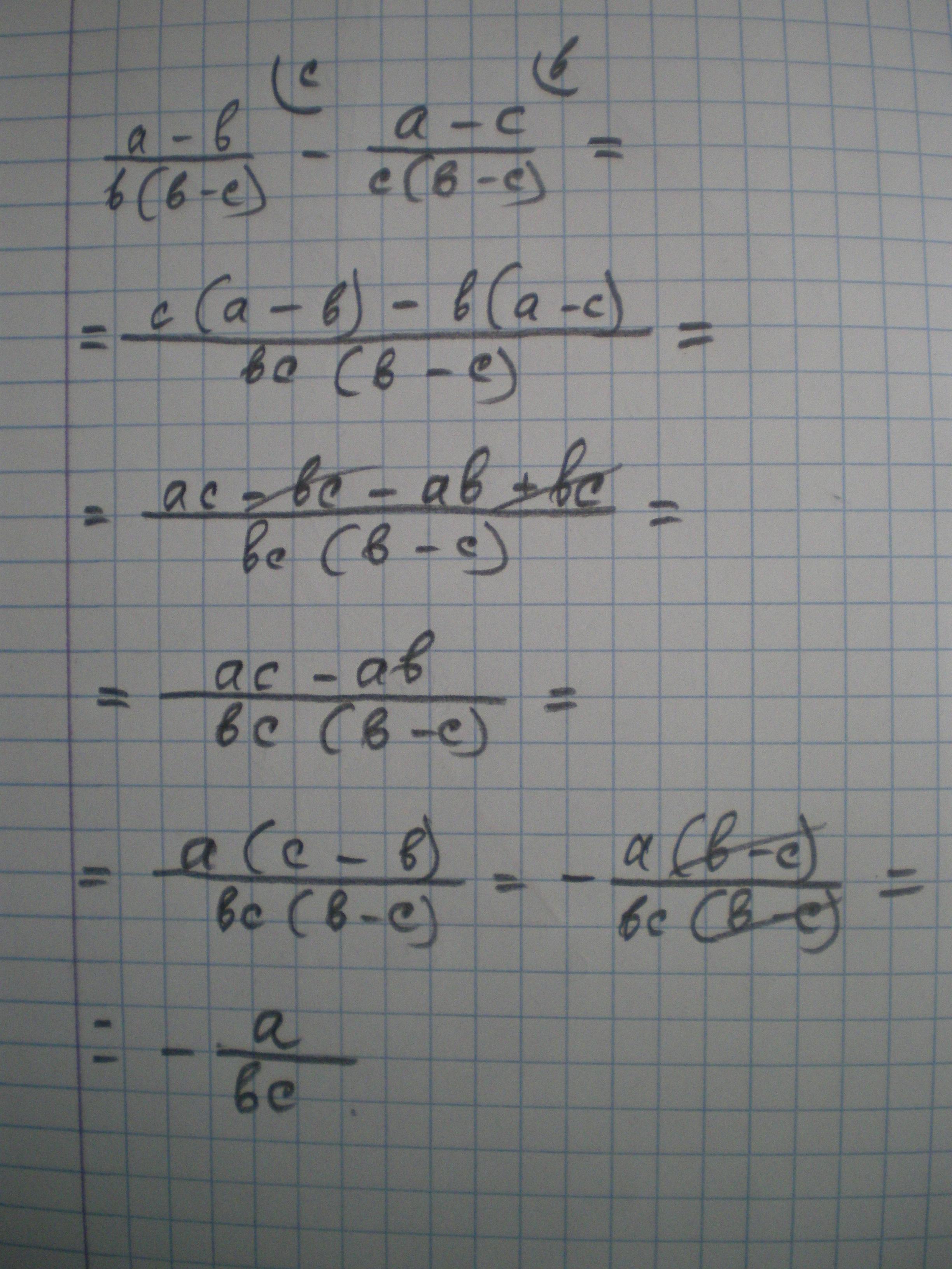
Упростите. В ответе укажите знаменатель полученной дроби.

буду рад ответу, баллы ваши)​

Приложения:

Ответы

Ответ дал: Пеппер
2

Ответ:

-а/вс

Объяснение:

Приложения:
Ответ дал: f34g56
1

 =  \frac{ac - bc -ab + bc }{bc(b - c)} = -  \frac{a (b - c)}{bc(b - c)} =  -  \frac{a}{bc} .

Вас заинтересует