• Предмет: Алгебра
  • Автор: bertain
  • Вопрос задан 2 года назад

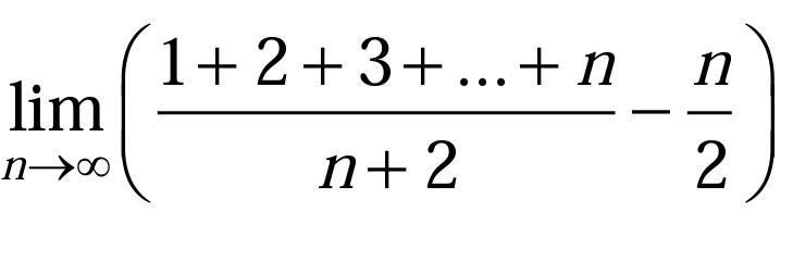
50б + лучший ответ! Найти предел числовой последовательности (подробное решение):

Приложения:

Ответы

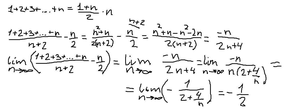
Ответ дал: solving05
1

Ответ:

Объяснение:

решение в приложении

Приложения:
Ответ дал: Аноним
1

Ответ: во вложении Объяснение:

Приложения:

bertain: Благодарю! Помогите, пожалуйста, с заданием: https://znanija.com/task/33048037
Вас заинтересует