• Предмет: Геометрия
  • Автор: dianazavgorodnyaya
  • Вопрос задан 2 года назад

Здравствуйте. Помогите пожалуйста, даю 18 баллов. 9 класс. Тема: Метод координат на плоскости
Задание⬇️
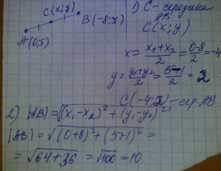
Найдите длину отрезка AB и координаты его середины, если A (0;5), B (-8;-1).​

Ответы

Ответ дал: Вероника8
0

Ответ:

на фото

Объяснение:

Приложения:
Вас заинтересует