• Предмет: Алгебра
  • Автор: 6786980
  • Вопрос задан 2 года назад

АЛГЕБРА!!! СРОЧНО!!! ОЧЕНЬ ПРОШУ ПОМОЧЬ!!!​

Приложения:

Ответы

Ответ дал: Mirage86
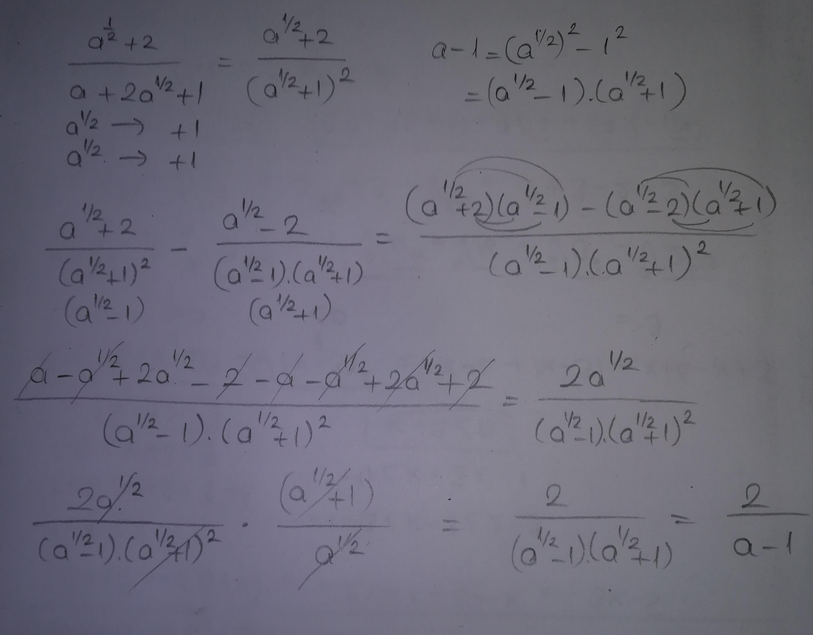
1

I hope this helps you

Приложения:

6786980: Thank you very much, you helped me a lot! I am very pleased! good luck to you❤️
Mirage86: no problem pal good luck you to
Вас заинтересует