Ответы
Ответ дал:
0
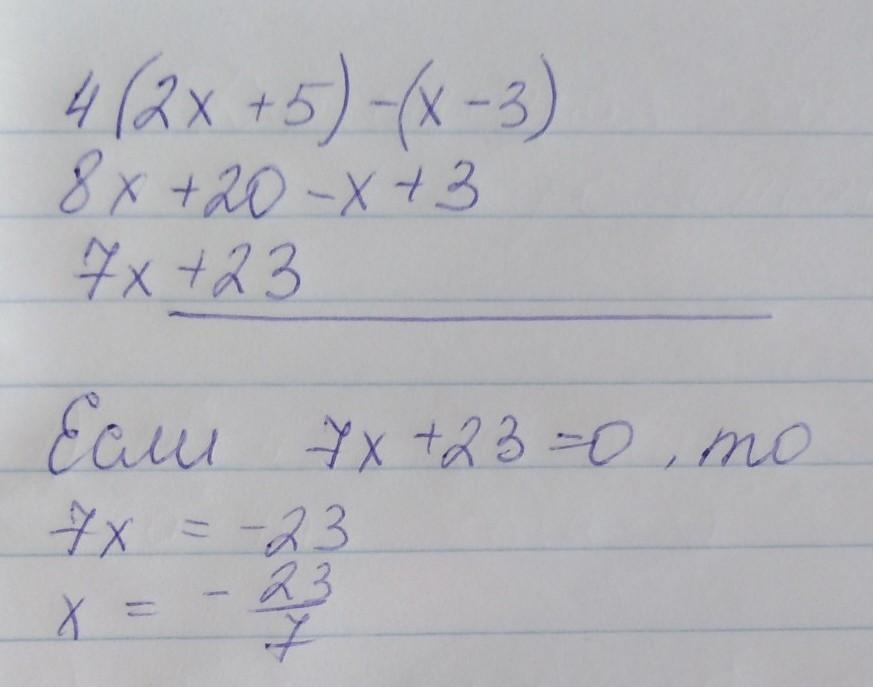
4(2х+5)-(х-3)=0
8х+20-х+3=0
7х+23=0
7ч=-23
х=-23\7
Ответ дал:
0
Объяснение:
Решение на фото.........
Приложения:

egorforcag050:
И ЕЩЁ 4Х-1 =2Х+3
Вас заинтересует
1 год назад
1 год назад
2 года назад
2 года назад
3 года назад
8 лет назад