• Предмет: Алгебра
  • Автор: studilko06
  • Вопрос задан 2 года назад

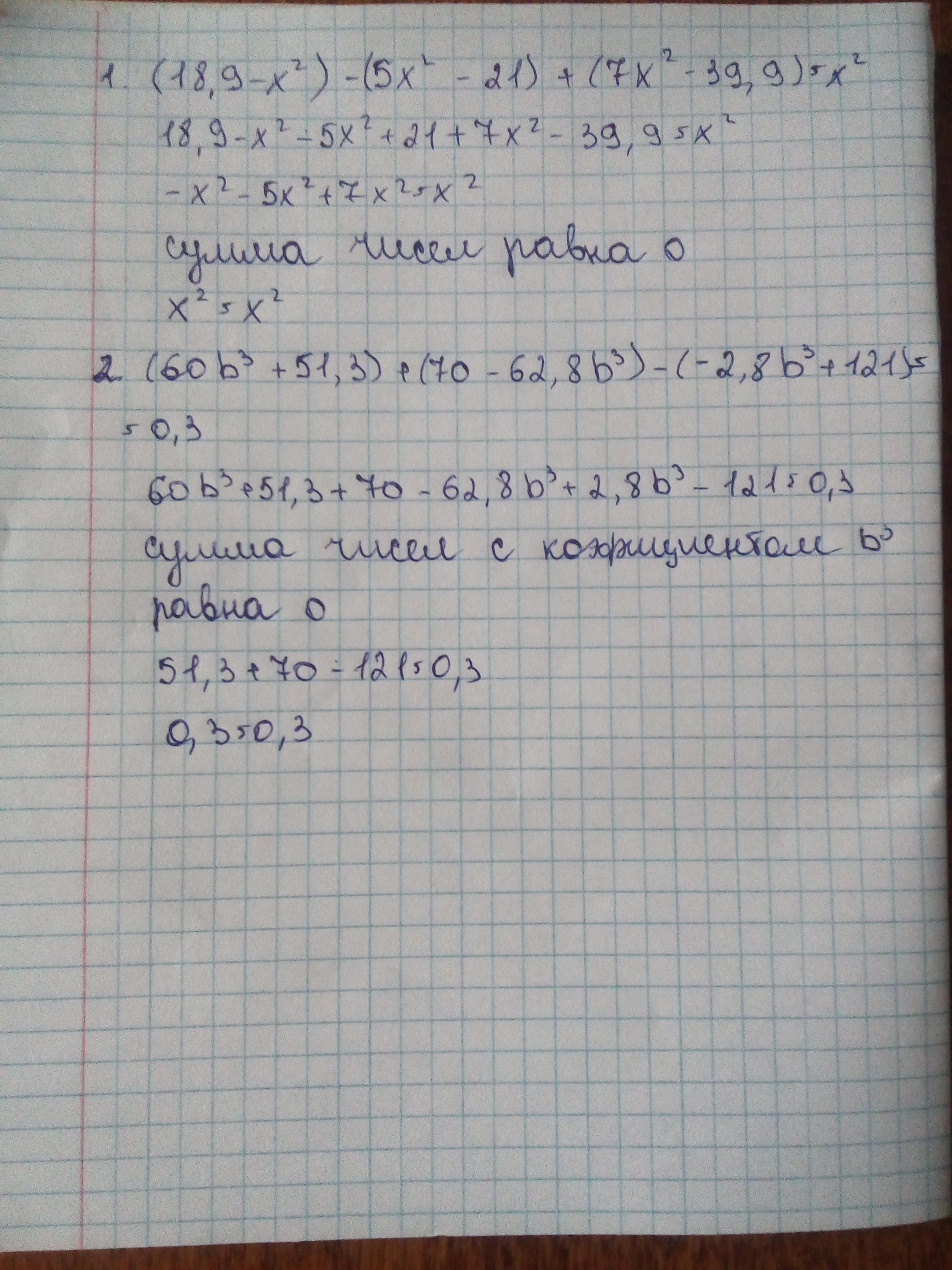
ПОмогите номер12.7-1,2пример!даю 15баллов

Приложения:

Ответы

Ответ дал: bukalo16
1

Ответ:

И 1 и 2 неравенства будут верны, так как они равны своим ответам : х^2 и 0,3

Объяснение:

решение на фото

Приложения:
Вас заинтересует