• Предмет: Алгебра
  • Автор: severovmd
  • Вопрос задан 2 года назад

Напишите пж все формулы связанные с квадратными корнями. ​


Аноним: Корень энной степени - это не квадратный, а я понял, что Вас интересуют только квадратные, т.е. четной степени корни.

Ответы

Ответ дал: DinariTe
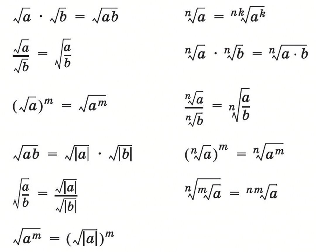
1

Все формулы на фотографии!

Приложения:
Ответ дал: Аноним
1

√а√в=√(ав); а≥0; в≥0.

√(а/в)=√а/√в а≥0; в>0

а√в=√(а²в),

√а²=IaI, а- любое число

(√а)²=а,    а≥0

√аⁿ=Iаⁿ/²I,

Вас заинтересует