• Предмет: Физика
  • Автор: fantom89608478646
  • Вопрос задан 2 года назад

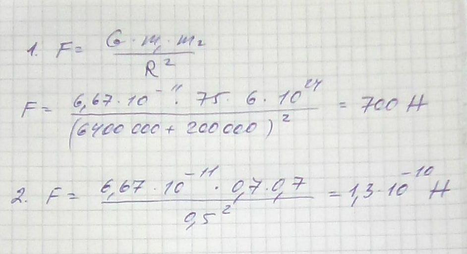
1. Чему равна сила с которой Земля притягивает к себе космонавта массой 75 кг находящегося на космическом корабле на высоте 200км.(Масса земли 6*10 в 24 степени кг). Её радиус 6400км.

2. С какой силой притягиваются друг к другу тела массой 700г находящиеся на расстоянии 50см друг от друга


Аноним: интересно

Ответы

Ответ дал: Аноним
1

= решение = решение = решение = решение = решение =

Приложения:
Вас заинтересует