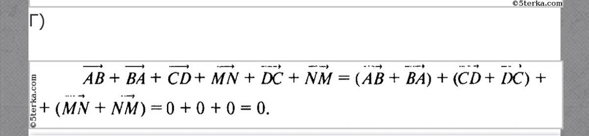
Упростите выражение: AB - CB + CN - MN - AM
sonya098765432199:
Точно не знаю так что попробуй ещё сам(а) попробовать
Ответы
Ответ дал:
0
Думаю так .....................(не хватало символов )
Приложения:

Вас заинтересует
1 год назад
2 года назад
2 года назад
3 года назад
3 года назад
8 лет назад