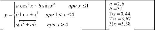
Вычислить значение функции y=f(x) при произвольных значениях x.
Варианты заданий в таблице 1 C++
Приложения:
Ответы
Ответ дал:
0
Ответ:
#include<iostream>
#include<math.h>
int main()
{
double y,a,b,x;
a=2.6; b=5.1;
std::cout << "Enter x: ";
std::cin >> x;
if (x<=1)
{
y=a*pow(cos(x),2)-b*sin(pow(x,2));
std::cout << "y("<<x<<") = "<<y;
}
if (x>1 && x<=4)
{
y=b*log(x)+pow(x,3);
std::cout << "y("<<x<<") = "<<y;
}
if (x>4)
{
y=sqrt(pow(x,2)+a*b);
std::cout << "y("<<x<<") = "<<y;
}
return 0;
}
Объяснение:
Приложения:
Вас заинтересует
2 года назад
2 года назад
2 года назад
2 года назад
3 года назад