• Предмет: Алгебра
  • Автор: azamat1037
  • Вопрос задан 2 года назад

срочно нужно помочь ото кердык будет мне​

Приложения:

Ответы

Ответ дал: ldglkva
1

Ответ:

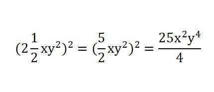
Решение во вложении.

Приложения:

azamat1037: и это и есть ответ
Вас заинтересует